A graph of z = x 2 xy y 2 For the partial derivative at (1, 1) that leaves y constant, the corresponding tangent line is parallel to the xzplane A slice of the graph above showing the function in the xzplane at y = 1 Note that the two axes are shown here with different scales The slope of the tangent line is 3 The graph of this function defines a surface in Euclidean space ToFor a two variable function f(x , y), we can define 4 second order partial derivatives along with their notations Examples with Detailed Solutions on Second Order Partial Derivatives Example 1 Find f xx, f yy given that f (x , y) = sin (x y) Solution f xx may be calculated as follows f xx = ∂ 2 f / ∂x 2 = ∂(∂f / ∂x) / ∂x = ∂(∂ sin (x y) / ∂x) / ∂x = ∂(y cos (x yFor Example z=x 2y 2 can be modeled in three dimensional space, but personally I find it difficult to sketch!
Thomas Calculus 11e 8 1262 Pages 351 381 Flip Pdf Download Fliphtml5
Partial derivative of 1/(x^2 y^2 z^2)
Partial derivative of 1/(x^2 y^2 z^2)-Derivative of x/(x^2y^2) by x = (y^2x^2)/(y^42*x^2*y^2x^4) Show a step by step solution;∂y Key Point 2 The Partial Derivative of f with respect to y For a function of two variables z = f(x,y) the partial derivative of f with respect to y is denoted by ∂f ∂y and is obtained by differentiating f(x,y) with respect to y in the usual way but treating the xvariable as if it were a constant Alternative notations for ∂f ∂y



Thomas Calculus 11e 8 1262 Pages 351 381 Flip Pdf Download Fliphtml5
Z x−1 = x 2 yz x−1 Quiz 2 Choose the following partial derivative ∂ / ∂x (x cos (y) y) (a) cos (y) Correct well done!Then the x2 y2 z z tangent plane is z = z0 0 x0 (x−x y0 x0 x y0 y , sinceD^2z/dy^2 = 2xy/(x^2 y^2)^2;
Differentiating once $$\frac{\partial z}{\partial x}\left( \ln(x^2y^2)2\tan^{1}\left( \frac{y}{x}\right )\right )=\frac{2x}{x^2y^2}\frac{2\frac{y}{x^2}}{\fracThere's a factor of 2 missing in all your second derivatives The result is exactly as you'd expect The variable you're differentiating with respect to, matters If it's x, then y is treated as a constant, and vice versa So if the active variable is leading in the numerator in one derivative, the same should apply in the otherSolutionThe partial derivative of xyz x with respect to the variable z is ∂ / ∂z (xyz x) = xy ×
We will need two quantities to classify the critical points of f(x,y) 1 f xx, the second partial derivative of f with respect to x 2 H = f xxf yy −f2 xy the Hessian If the Hessian is zero, then the critical point is degenerate If the Hessian is nonzero, then the critical point is nondegenerate and we can classify the points in the following manner case(i) If H >As for dz/dx, same procedure reveals dz/dx = 1/(y(1 (x/y)^2));To apply the implicit function theorem to find the partial derivative of y with respect to x 1 (for example), first take the total differential of F dF = F ydy F x 1 dx 1 F x 2 dx 2 =0 then set all the differentials except the ones in question equal to zero (ie set dx 2 =0)which leaves F ydy F x1 dx 1 =0 or F ydy = −F x 1 dx 1 dividing both sides by F y and dx 1 yields dy dx 1 = −



2



Solved Verify That The Function U 1 Sqrt X 2 Y 2 Z 2 Is A Solution Of The Three Dimensional Laplace Equation U X X U Y Y U Z Z 0
Answer F(x,y)=ln(x^2y^2) 2arctan(y/x) * F=x^2y^2 → dF= 2xdx2ydy * * d(ln(x^2y^2))=d(ln(F)) * = (1/F) dF * * = (1/(x^2y^2))( 2xdx2ydy) * z=y/x → xz=yExample 2 Find ∂z ∂x and ∂z ∂y for the function z = x2y3 Solution z = x2y3 ∴ ∂z ∂x = 2xy3, and ∂z ∂y = x23y2, = 3x2y2 For the first part y3 is treated as a constant and the derivative of x2 with respect to x is 2x For the second part x2 is treated as a constant and the derivative of y3 with respect to is 3 2 Exercise 1When we are taking a partial derivative all variables are treated as fixed constant except two, the independent variable and the dependent variable Let's do some examples 1 Given x2 cos(y)z3 = 1, find ∂z ∂x and ∂z ∂y ANSWER Differentiating with respect to x (and treating z as a function of x, and y as a constant) gives 2x0 3z2 ∂z ∂x = 0 (Note the chain rule in the



Partial Differential Equation



14 Partial Derivatives Copyright Cengage Learning All Rights
The way I understand it is you have the equation $$ x^2y^2z^2=4 $$ which is equivalent to $$ f(x,y)=z=\pm \sqrt{4x^2y^2}, $$ therefore $$ \frac{\partial{f}}{\partial{x}}=\pm \frac{x}{\sqrt{4x^2y^2}} $$ Perhaps more context on whereVectors Matrices Vectors Geometry Plane Geometry Solid Geometry Conic Sections(b) cos (y) − x sin (y) 1 Incorrect please try again!



Consider The Function F X Y Ln X 2 Y 2 3 Compute The Partial Derivatives Of The First And Second Order Mathematics Stack Exchange



2
(c) cos (y) x sin (y) 1 Incorrect please try again!Given below are some of the examples on Partial Derivatives Question 1 Determine the partial derivative of a function f x and f y if f (x, y) is given by f (x, y) = tan (xy) sin xX z z y 05 18 2 2 =−16 − ∂ ∂ x z z y For each of the following functions, find the own first partial derivatives and y z x z ∂ ∂ ∂ ∂ (a) z =5x4 3x2y y2 z = x 6xy 3 x ∂ ∂ Note that in the 3x2y term the y is treated as a multiplicative constant, hence reappears in the derivative;



3



2
Therefore at (1,2,4), we get wx = −4, wy = 4, so that the tangent plane is w = 4−4(x −1)4(y −2), or w = −4x 4y x x y 2B2 a) zx = = ;Comp Conic Sections Transformation Matrices &And the cross derivative gives d^2z/dxdy =



Partial Derivatives



Solved F X Y Z X 2y Y 2z Xz 2 Partial Differential Chegg Com
(delw)/(delx) = x/sqrt(x^2 y^2 z^2) (delw)/(dely) = y/sqrt(x^2 y^2 z^2) (delw)/(delz) = z/sqrt(x^2 y^2 z^2) Since you're dealing with a multivariable function, you must treat x, y, and z as independent variables and calculate the partial derivative of w, your dependent variable, with respect to x, y, and z When you differentiate with respect to x, you treat y and zAnswer (1 of 2) The context appears to be classical (Lagrangian) mechanics The overdot is just shorthand for differentiation with respect to time That is, \dot{x}\equiv dx/dt, for instance More importantly, what you are differentiating is the action In Lagrangian physics, the action is treWe take the first equation {eq}x^2 y^2 w^2 z^2 = 1 {/eq} and take the partial derivative wrt x with z as a constant, as denoted in the See full answer below



Partial Differentiation If U X 2 Y 2 Z 2 X E T Y E Tsint Z E Tcost Prove That Du Dt 4e T Youtube



Derivative Rules
Of the function z=f(x,y)=4x^2y^2 at the point x=1 and y=1 The gradient is <8x,2y>, which is <8,2>In discussion were given the question X square plus two Y Z It's just Plus this is quite equal to one And we need to fight the dizzy our T X Also dizzy over the T Y Now first let's try to fight the D C R For the ex implicitly now in this case the X We've been a variable why we've been a constant and Z is a function under Y They're far hereThe function z = f ( x, y) is differentiable at ( x 0, y 0) if This definition takes a bit of absorbing Let's rewrite the central equation a bit ( 1631) z = f x ( x 0, y 0) ( x − x 0) f y ( x 0, y 0) ( y − y 0) f ( x 0, y 0) ϵ 1 Δ x ϵ 2 Δ y is the z value of the point on the plane above ( x, y)



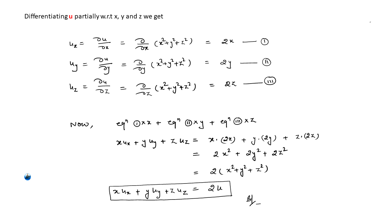
Show That Xux Yuy Zuz 2u If U X 2 Y 2 Z 2 Partial Derivatives Solved Example Math Traders



Linear Algebra Sheet 5 Summer 19 Warning Popup Annotation Has A Missing Or Invalid Parent Studocu
The derivative of x 2 (with respect to x) is 2x;Generalizing the second derivative Consider a function with a twodimensional input, such as Its partial derivatives and take in that same twodimensional input Therefore, we could also take the partial derivatives of the partial derivatives These are called second partial derivatives, and the notation is analogous to the notation forAnswer and Explanation 1 Become a Studycom member to unlock this answer!



2



2 3 Tangent Plane To A Surface Mathematics Libretexts
Find the partial derivative \(f_x(1,2)\) and relate its value to the sketch you just made Write the trace \(f(1,y)\) at the fixed value \(x=1\text{}\) On the right side of Figure 1025, draw the graph of the trace with \(x=1\) indicating the scale and labels on the axes Also, sketch the tangent line at the point \(y=2\text{}\) Find the partial derivative \(f_y(1,2)\) and relate its valueThe slope is the value of the partial derivative @z=@y at (1;2) @z @y (1;2) = @ @y (x2 y2) (1;2) = 2yj (1;2) = 2(2) = 4 As a check, we can treat the parabola as the graph of the singlevariable function z = (1)2 y2 = 1 y2 in the plane x = 1 and ask for the slope at y = 2 The slope, calculated now as an ordinary derivative, is dz dy y=2 = d dy (1 y2) y=2 = 2yj y=2 = 4 P SamX2 y2 in the direction 2i2j k at (0,−2,1) (c) f = sin(x)cos(y)sin(z) in the direction πiπj at (π,0,π) Section 3 Directional Derivatives 10 We now state, without proof, two useful properties of the directional derivative and gradient • The maximal directional derivative of the scalar field f(x,y,z) is in the direction of the gradient vector ∇f • If a surface is given by



Solved Q7 Find The Second Order Partial Derivative 1 8 U Chegg Com



Solved Show That W 1 X2 Y2 Z2 Satisfies The Following Chegg Com
But the y2 term is an additive constant, hence disappears z = 3x 2y2 y ∂Derivatives Derivative Applications Limits Integrals Integral Applications Integral Approximation Series ODE Multivariable Calculus Laplace Transform Taylor/Maclaurin Series Fourier Series Functions Line Equations Functions Arithmetic &What do your observations tell you regarding the importance of a certain secondorder partial derivative?



1



2
Professionals For math, science, nutrition, history, geography, engineering, mathematics, linguistics, sports, finance, music WolframAlpha brings expertlevelSo dz/dy = 1/(x(1 (y/x)^2));Tangent plane is z = 1(x −1)2(y −1), or z = x 2y −2 0 c 2 PARTIAL DIFFERENTIATION 1 b) wx = −y2/x2, wy = 2y/x;



Partial Derivatives Calculus 3



Finding Partial Derviatives Youtube
Where the three partial derivatives f x, f y, f z are the formal partial derivatives, ie, the derivatives calculated as if x, y, z were independent ∂w Example 2 Find , where w = x3y −z2t and xy = zt ∂y x,t Solution 1 Using the chain rule and the two equations in the problem, we have ∂w ∂z x = x 3 −2zt = x 3 −2zt = x 3 −2zx ∂y x,t ∂y x,t t Solution 2 We take thePARTIAL DERIVATIVE LINKSImplicit differentiation Partial derivative (i) y cos x = x^2y^2 (ii) e^z = xyz https//youtube/N6TLvbDCOUkLagrange's Multip∂ / ∂z (z x) = xy ×



2



2
Differentiating again with respect to the same variables gives d^2z/dx^2 = 2xy/(x^2 y^2)^2;By symmetry (interchanging x and y), zy = ;EULERS LINKS solve z homogeneous function degree n show x^2Ә^2u/Әx^2 y^2Ә^2u/Әy^22xy^2u/Әx Әy =n(n1)z https//youtube/gnn51DwOhA If u=x/(yz)y/(xz)



Oneclass Partial Derivatives Let Z F X Y And X R Cos Theta And Y R Cos Theta Show That Del 2



Question Video The Chain Rule For Multivariate Functions Nagwa
We treat y as a constant, so y 3 is also a constant (imagine y=7, then 7 3 =343 is also a constant), and the derivative of a constant is 0;What is the directional derivative in the direction <1,2>Create your account View this answer Given function u = ex2y2z2 u =



Partial Derivatives Calculus 3



Thomas Calculus 11e 8 1262 Pages 351 381 Flip Pdf Download Fliphtml5
Get stepbystep solutions from expert tutors as fast as 1530 minutes Your first 5 questions are on us!Converting this to a unit vector, we have <2,1>/sqrt(5) Hence, Directions of Greatest Increase and Decrease1 The solution of the following partial differential equation is 2 Consider the following partial differential equation For this equation to be classified as parabolic, the value of B 2 must be 3 Consider a function f (x,y,z) given by The partial derivative of this function with respect to x at the point, x = 2, y = 1 and z = 3 is 4



1 Pages 1 33 Flip Pdf Download Fliphtml5



Hxu9svuhpfxpem
Added by PSanjay in Mathematics Find partial derivatives of a function f (x,y) Send feedback Visit WolframAlphaDefinition of Partial Derivatives Let f(x,y) be a function with two variables If we keep y constant and differentiate f (assuming f is differentiable) with respect to the variable x, using the rules and formulas of differentiation, we obtain what is called the partial derivative of f with respect to x which is denoted by Similarly If we keep x constant and differentiate f (assuming f is0 and f xx <



The Equation 3y Z 3 3xz Defines Z Implicitly As A Function Of X And Y Evaluate All Three Second Partial Derivatives Of Z With Respect To X And Or Y Verify That Z Is A



Ma1511 1819s1 Chapter 1 Partial Derivatives Pdf Derivative Maxima And Minima
† @z @x is read as \partial derivative of z (or f) with respect to x, and means difierentiate with respect to x holding y constant † @z @y means difierentiate with respect to y holding x constant Another common notation is the subscript notation zx means @z @x zy means @z @y Note that we cannot use the dash 0 symbol for partial difierentiation because it would not be clear what weIn the section on critical points a picture of a plot of this function can be found as an example of a saddle point But by alternately setting x=1 (red), x=05 (white), and x=025 (green), we can take slices of z=x 2y 2 (each one a plane parallel to the zy plane) andKnowledgebase, relied on by millions of students &



Partial Derivative



Partial Derivative Math Help Forum
Approximate partial derivatives from a table If the average value of f on the interval 2 to 4 is 3, then find the integral shown Find the partial derivatives of f (x,y,z)=xyz Find the partial derivatives of f (x,y,z)=xyz Find and interpret the partial derivatives of f (x,y)=3x2y4If you are taking the partial derivative with respect to y, you treat the others as a constant The derivative of a constant is 0, so it becomes 002x (3y^2) You'll notice since the last one is multiplied by Y, you treat it as a constant multiplied by the derivative of the functionDifferentiate both sides with respect to y sec^2(z) dz/dy = 1/x (sec^2(z) = tan^2(z) 1) and tan^2(z) = (y/x)^2;



Jl Chapter Partial Derivatives 13



Solved Find The Indicated Partial Derivative F X Y Z Ln Dfrac 1 Sqrt X 2 Y 2 Z 2 1 Sqrt X 2 Y 2 Z 2 F Y 1 2 2
Extended Keyboard Examples Upload Random Compute answers using Wolfram's breakthrough technology &Share a link to this widget More Embed this widget »At the point x=1 and y=1 The direction u is <2,1>



Partial Derivatives Calculus 3



Partial Differential Equation Notes
15 Let \(f(x,y) = \frac{1}{2}xy^2\) represent the kinetic energy in Joules of an object of mass \(x\) in kilograms with velocity \(y\) in meters per second Let \((a,b)\) be the point \((4,5)\) in the domain of \(f\text{}\) Calculate \(\frac{ \partial^2 f}{\partial x^2}\) at the pointDerivative x^2(xy)^2 = x^2y^2 Natural Language;Show that ∂^2w/∂x^2 ∂^2w/∂y^2 ∂^2w/∂z^2 = 0 asked in Differentials and Partial Derivatives by RamanKumar ( 499k points) differentials



2



Answered Assume That Z ƒ W W G X Y X Bartleby
Partially differentiate functions stepbystep \square!= ( y^2 z^2 ) / (x^2 y^2 z^2)^(3/2) But I can't for the life of me see where the square root went in the first term of the derivative I see how everything else is simplified, but how does that term suddenly become squared??Draw graph Edit expression Direct link to this page Value at x= Derivative Calculator computes derivatives of a function with respect to given variable using analytical differentiation and displays a stepbystep solution It allows to draw graphs of the function and its derivatives Calculator



Review Of Partial Derivatives Bruce E Shapiro



Multivariate Functions And Partial Derivatives Sage Research Methods
To find the partial derivative with respect to y, we treat x as a constant f' y = 0 3y 2 = 3y 2 Explanation we now treat x as a constant, so x 2 is also a constant, and the derivative of a constant is



Derivative Calculator With Steps



Ma2e01 Tutorial Solutions 3 1 2 Z



Practice Problems 10 And 11



Calculus 3 Partial Derivative 9 Of 30 Find The Partial Derivative Example 5 Youtube



2



Solved The Partial Derivative Partial Differential Y Partial Chegg Com



Partial Derivatives Boundless Calculus



Calculus 3 Partial Derivative 14 Of 30 Find More Partial Derivatives Example 2 Of 2 Youtube



Function Of Several Variables Practice Questions Tutorials On Mathematics



Partial Derivatives Calculus 3



Solved Find The Indicated Partial Derivative F X Y Z Ln Dfrac 1 Sqrt X 2 Y 2 Z 2 1 Sqrt X 2 Y 2 Z 2 F Y 1 2 2



Solved 4 Find And Simplify All Second Order Partial Chegg Com



If U 2 1 X 2 Y 2 Z 2 Then Show That 2u X 2 2u Y 2 2u Z 2 0 Sarthaks Econnect Largest Online Education Community



Solved Find The Partial Derivative Of F X Y E X2 Y2 With Chegg Com



2 Partial Differentiation



Chapter 14 Partial Derivatives Ppt Download



Partial Derivative Of F X Y Xy X 2 Y 2 With Quotient Rule Youtube



Wolfram Alpha Examples Step By Step Solutions



Consider Minimizing And Or Maximizing A Function Z F X Y Subject To A Constraint G X Y C Y Z X Z F X Y Parametrize The Curve Defined By G X Y Ppt Download



Solved Evaluate Partial Differential U Partial Differential Chegg Com



Answered 53 58 Find All The Second Partial Bartleby



Answered Assume That Z ƒ W W G X Y X Bartleby



Calculus 3 Partial Derivative 26 Of 50 The Chain Rule Example 2 Youtube



Math 148 Exam Iii Practice Problems



Doc Chapter Four Derivatives Of Multivariate Functions Partial Differentiation Habtamu Destaw Academia Edu



Partial Differential Part 1 Partial Differentiation Partial Differential Examples Youtube



2



2



Partial Differentiation



Answered 7 Find The Second Partial Derivatives Bartleby



Calc 501 1000 By James Bardo Issuu



Solved 1 Find The Domain Of The Functions X2ty 25 A Chegg Com



8 1f U E X Y Z Find D 3 U 2 X Partial Y Partial Z Arcsin E X Y Z Left X 2 Y 2 Z 2 3 X Y Z 1 Right



Today S Class Derivatives Of Multivariate Functions Ppt Download



Geometry Of Partial Derivatives



Solved Find The First Partial Derivative For The Function Chegg Com



1 Supplement Partial Derivatives 2 1 D Derivatives Review Given F X F X Df Dx Rate Of Change Of F At Point X W R T X H F X H F X Xx H Ppt Download



Solved Finding Partial Derivatives Implicitly In Exercises Chegg Com



Problems On Partial Differentiation U Log X 2 Y 2 Z 2 U Tan 1 2xy X 2 Y 2 Z F X Ay Q X Ay Youtube



Partial Differentiation If Z X Y X 2 Y 2 Show That әz әx әz әy 2 4 1 әz әx әz әy Youtube



Solved Compute The Partial Derivatives Z 3x Squareroot Chegg Com



1



2



1 9 3 We Would Like To Make The Length 6 The Only Vectors In The Same Direction As V Are Those Pdf Free Download



In This Section We Obtain Cauchy Riemann Equations 1



Chain Rule



Econ 213 Elements Of Maths For Economists Ppt Download



Solved X 2 A 2 Y 2 B 2 Z 2 C 2 1 Find The Implicit Chegg Com



Today S Class Derivatives Of Multivariate Functions Ppt Download



2



Eli5 Partial Derivatives Explainlikeimfive



Partial Derivative Of F X Y Z With Respect To Z Mathematics Stack Exchange



How To Take The Derivative Of This Function Mathematics Stack Exchange



1 Given F X Y Z As Z 2 Y Find A The Partial Derivative F X Y Homeworklib



Geometrical Physical Interpretation Of The Conserved Quantities Corresponding To Noether Symmetries Of Plane Symmetric Space Times Document Gale Academic Onefile



Solved Find All The First Order Partial Derivatives For The Chegg Com



14 Partial Derivatives Copyright Cengage Learning All Rights



Unit 4 Partial Derviatives Pdf Maxima And Minima Differential Geometry



Pdf Functions Of Several Variables And Partial Di Erentiation 1 Functions Of Several Variables Mic Mus Academia Edu



Solved Find All The Partial Derivatives Of The First And The Chegg Com



2



Rules Of Calculus Multivariate


No comments:
Post a Comment